1、防洪評價依據:
《中華人民共和國防洪法》第二十七條:“建設跨河、穿河、穿堤、臨河的橋梁、碼頭、道路、渡口、管道、纜線、取水、排水等工程設施,應當符合防洪标準、岸線規劃、航運要求和其他技術要求,不得危害堤防安全,影響河勢穩定、妨礙行洪暢通;其可行性研究報告按照國家規定的基本建設程序報請批準前,其中的工程建設方案應當經有關水行政主管部門根據前述防洪要求審查同意。”
根據《河道管理範圍内建設項目管理的有關規定(2017年修訂)》,以下項目需要編制防洪評價報告,在河道(包括河灘地、湖泊、水庫、人工水道、行洪區、蓄洪區、滞洪區)管理範圍内新建、擴建、改建的建設項目,包括開發水利(水電)、防治水害、整治河道的各類工程,跨河、穿河、穿堤、臨河的橋梁、碼頭、道路、渡口、管道、纜線、取水口、排污口等建築物,廠房、倉庫、工業和民用建築以及其它公共設施(以下簡稱建設項目)。
壓塊鋼項目占地面積8.77畝,建築面積6433.52平米,達到穩定運營後,每年銷售收入穩定在2013.57萬元人民币左右,利潤穩定在23.77萬元人民币左右。壓塊鋼項目總投資額爲1096.63萬元,20%申請政府資金支持,80%自有資金解決,投資利潤率爲4.30%;項目投資财務内部收益率(稅後)爲0.07%,投資回收期(稅後)爲1384.06年,盈虧平衡點 BEP=30.92%。
歡聚四方公司子公司四川鼎立晟攀建築工程有限公司擁有水利設計乙級資格,專業編制壓塊鋼項目防洪評價報告、水資源論證報告,子公司北京華靈四方投資咨詢有限責任公司擁有中國工程咨詢協會甲級資信,爲2021年北京市優秀工程咨詢單位,節能評估榮獲北京市優秀工程咨詢獎一項,節能領域實力雄厚,節能報告、項目資金申請報告、項目申請報告,項目建議書,可行性研究報告,效率高,價格低,歡迎來電咨詢,13911268021沈工

壓塊鋼項目防洪評價報告
編(biān)制防洪評價報(bào)告前建設單位提供材料:
(1)項目基本資料、可行性研究報告及批複、目前工程進展情況;
(2)河道劃界報告;
(3)項目涉河工程建設方案、施工方案及相關圖紙、建設項目防洪影響補救工程專項設計方案、建設項目工程建設期間和運營期間服從水利建設和管理的承諾函、建設項目涉及第三方合法水事權益的,提供與第三人協議(不涉及的,提供承諾函)、項目立項證明等必要資料。
以下根據《河道管理範圍内建設項目防洪評價報告編制導則》(SL/T808-2021)編制
1. 概述
1.1. 建設 壓塊鋼項目背景
防洪評價報告編制大綱執行《河道管理範圍内建設項目防洪評價報告編制導則》(SL/T 808-2021)附錄B要求,根據防洪綜合評價及分析計算成果,定性或定量歸納建設項目的影響,明確結論,編制單位除按規範要求編寫外,重點做好以下基礎工作:弄清項目涉河工程建設方案、施工方案與河道的相互關系;弄清項目涉河工程建設方案及所處河段的防洪标準;洪評報告針對涉及河道管理範圍内建設項目編制,應弄清項目涉河工程建設方案、施工方案是否存在違背《中華人民共和國防洪法》、《中華人民共和國河道管理條例》以及《涉水建設項目防洪與輸水影響評價技術規範》(DB37T 3704-2019)等要求的限制性因素;確保項目所涉河道資料收集全面,水文、水力、穩定分析等計算方法正確、計算結果可靠;補救措施針對項目實際,確實起到消除和減輕防洪影響的作用。
1.2. 壓塊鋼項目防洪影響分析範圍
1.3. 技術路線及工作内容
1.4. 壓塊鋼項目高程系統
2. 壓塊鋼項目基本情況
2.1. 建設 壓塊鋼項目基本情況
2011年1-12 月,山東省機械零部件加工及設備修理業累計實現産品銷售收入1795.14 億元,比上年同期增長34.61% ,山東省機械零部件加工及設備修理業累計實現利潤總額102.84億元,上年同期爲70.14億元。山東省機械零部件加工及設備修理業總規模以上企業數量1632家,虧損企業88家,虧損總額爲2.28億元,上年同期爲1.58億元。山東省機械零部件加工及設備修理業産品銷售稅金及附加爲10.63億元,去年同期爲7.46億元,增長42.53%。 2011年1-12 月,山東省機械零部件加工及設備修理業資産總計966.04 億元、比去年同期增加23.47% ;負債合計433.97 億元,比去年同期增加90.80% ;機械零部件加工及設備修理業平均資産負債率爲44.92% 。機械零部件加工及設備修理業應收帳款額爲169.28億元,比去年同期增長22.10% ,銷售成本爲1552.64億元,比去年同期增長35.16% ,銷售費用爲30.73億元,比去年同期增長36.54% ,機械零部件加工及設備修理業管理費用爲66.64億元,比去年同期增長31.59% ,機械零部件加工及設備修理業财務費用爲13.03億元,比去年同期增長36.35%, 機械零部件加工及設備修理業全部從業人員平均人數爲253731人。
2.2. 河道基本情況
2.3. 現有水利工程及其他設施情況
特别需要調查上遊水庫等水利設施情況
2.4. 水利規劃及實施安排
3. 河道演變
3.1. 河道曆史演變概況
河流側蝕作用強烈,在峽谷峭壁上形成瞭凹穴,經過地殼運動擡升的穩定期和活躍期的交替變化,在不同的高度上形成瞭一些列側蝕凹槽
上圖爲河流側蝕凹槽 ,流動河水侵蝕凹岸,形成 凹槽,這是河流側向側蝕作用,被侵蝕的沉積物會被搬運到凸岸沉積

3.2. 河道近期演變分析
3.3. 河道演變趨勢分析

河流下切作用,與側向侵蝕相比,下蝕作用通常發生在地殼擡升期。在地殼擡升背景下,攜帶沉積物的水流不斷侵蝕河床,使得峽谷越來越深
4. 防洪評價分析與計算
4.1.壓塊鋼項目 水文分析計算
本報告採用HEC-RAS5.0.7版本進行計算,該軟件可對天然或人工河道進行一維恒定流和非恒定流的水力推演:可計算緩流、急流及混合流等各種流态;還可進行如防洪堤、橋梁、涵洞、堰閘、泵站等涉水建築物的水面線分析計算:同時,能夠生成橫斷面形态圖、流量及水位過程曲線、河道三維斷面圖等分析圖表。該軟件操作便捷.适應範圍廣。
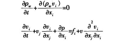
對於恒定流計算基於一維能量方程.採用直接步進法推求水面線,基本公式如下:
對於非恒定流計算基於一維連續性方程和動量方程,微分方程如下。

4.2. 壓塊鋼項目壅水和行洪能力分析計算

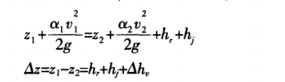
橋梁壅水高度採用《鐵路工程水文勘測設計規範》(TB10017-2021)推薦公式分析計算,公式爲:
式中物理量依次爲:
——橋前最大壅水高度(m);
——系數;
——斷面平均流速(m/s),爲設計流量被全河過水斷面(包括邊灘和河灘)除得之商;
——橋下平均流速(m/s);
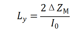
3、壅水長度
新建工程河段壅水曲線全長計算採用公式:

式中:
——壅水曲線全長(m);
——橋址河段天然水面坡度;
4.3. 壓塊鋼項目沖刷淤積計算與河勢影響分析
橋梁橋墩沖刷包括河床自然演變沖刷、一般沖刷和局部沖刷三部分,最大沖刷深度爲上述三項之和。河床自然演變引起的沖刷和淤積目前尚無可靠的計算方法,其幅度較難量化。因此本次計算隻考慮一般沖刷和局部沖刷兩部分。項目區域地層岩性多樣,區分粘性土和非粘性土計算沖刷深度。計算方法參考《公路工程水文勘測設計規範》(JTGC30-2015)。
4.4. 壓塊鋼項目堤防及岸坡穩定分析計算
5. 壓塊鋼項目防洪綜合評價
5.1. 建設 壓塊鋼項目與有關規劃符合性評價
5.2. 建設 壓塊鋼項目防洪标準和有關技術要求符合性評價
5.3. 建設 壓塊鋼項目對河道行洪的影響評價
5.4. 建設 壓塊鋼項目對河勢穩定的影響評價
5.5. 建設 壓塊鋼項目對堤防安全及岸坡穩定和其他水利工程影響評價
5.6. 建設 壓塊鋼項目對水利工程運行管理和防汛搶險的影響評價
5.7. 建設 壓塊鋼項目施工期影響評價
5.8. 建設 壓塊鋼項目對第三人合法水事權益的影響評價
6. 消除和減輕影響的措施
6.1. 消除和減輕影響措施
6.2. 建設 壓塊鋼項目消除和減輕影響的措施效果分析
7. 結論與建議 422
7.1. 防洪綜合評價主要結論
7.2. 消除和減輕影響措施的結論
7.3. 建議
8 附件
8.1. 附件
---------------------------------------------
生産本項目産品的主要企業分析
柳州市太山金屬加工廠 柳州市太山金屬加工廠 柳州市太山金屬加工廠
---------------------------------------------
本縣屬東部暖溫帶半幹旱季風性氣侯地區,大陸性氣侯特點顯著、四季分明。春季幹燥多風,夏季炎熱多雨,秋季晴和高爽,冬季寒冷少雪。夏至日受到太陽照射的時間爲13時27分、冬至日爲7時36分,相差近6個小時。日照總時數爲2985.8小時,太陽年輻射總量爲130.829千卡/cm"。年平均降水量545.8毫米,年最大降水量爲1023.2毫米(1954年),年最小降水量243.2毫米(1975年)。70%以上降水集中於六、七、八三個月,秋季(九、十、十一月)占13.7%,春季(三、四、五月)占7.9%,冬季(十二、一、二月)占2.9%。年平均氣溫11.7℃,最熱月爲七月,月平均氣溫26.2℃。曆年極端最高氣溫40.3℃,地面極端最高溫度69.3℃。最冷月爲一月,月平均氣溫-5.4℃,極端最低氣溫-21.l℃,地表極端最低-24.5℃。年平均地面溫度14.3℃。年蒸發量1711.6毫米。無霜期185天左右。全年大於等於O℃的積溫爲4632.6℃,大於等於3℃的積溫爲4571.3℃,大於等於lO℃的積溫4254.5℃,大於等於15℃的積溫爲3805.l℃。
---------------------------------------------
全區實現生産總值545.96億元,比上年增長13.13%。其中第二産業增加值337.08億元,比上年增長4.25%;第三産業增加值208.88億元,比上年增長31.15%,第二、三産業比重由上年的67.00%和33.00%變化爲61.74%和38.26%。按從業人員計算,全區人均生産總值35.52 萬元,比上年增長8.26%。
全年完成主營業務收入2922.14億元,比上年增長1.95%。其中第二産業完成主營業務收入2059.55 億元,比上年下降1.82%,占全區主營業務收入的70.48%;第三産業完成主營業務收入862.59億元,比上年增長12.24%,占全區主營業務收入的29.52%。
全年實現利潤263億元,比上年下降19.99 %。其中第二産業利潤總額96億元,比上年下降33.36 %;第三産業利潤總額167億元,比上年下降9.55 %。
全年财政收入172.30億元,比上年增長28.98%。其中預算收入158.10億元,比上年增長30.53%;土地收入14.20億元,比上年增長13.97%。全年财政支出49.37億元,比上年增長2.95%。
去年全世界爆發的國際金融危機也給開發區帶來瞭一些影響。工業總産值從2007年的2091.7億元降到瞭2019.59億元。但是園區有關部門積極應對國際金融危機帶來的嚴峻挑戰,全面落實幫扶企業政策措施,著力解決企業在經營運行、市場開拓、就業保障、融資渠道等方面的突出。主要措施包括兩點:一是開辟綠色通道,爲企業提供一站式管理服務,保證企業有困難,可以在第一時間聯系解決。二是鼓勵企業逆勢而上,開發區充分發揮溝通協調作用,爲金融機構和企業搭建合作平台,解決企業融資困難,目前開發區的恢複明顯好於國外市場的恢複。今年一季度已經開始顯現,二季度加快好轉,預計今年的工業産值能超過去年的水平。

北京歡聚四方規劃設計有限公司旗下擁有甲級工程咨詢單位:北京華靈四方投資咨詢有限責任公司和乙級設計單位:四川鼎立晟攀建築工程有限公司,公司緻力於項目前期、設計階段,旗下公司業務覆蓋項目前期策劃、測繪、規劃、立項、節能評估、水資源評估、水土保持、防洪評價等,基本可以覆蓋大部分項目的前期服務,公司也擅長管理咨詢和投融資服務,旗下公司在市場調研、商業計劃書、管理咨詢、戰略規劃等領域均具有大量的成功案例。旗下公司承擔瞭近8000多個項目,行業覆蓋鐵路、能源、高新技術等國民經濟各個行業,也承擔政府投資項目第三方評審,爲政府科學決策提供第三方咨詢服務。
更多我公司資深的專家團隊具有專業的理論知識和豐富的實戰功底,控股公司範圍内擁有8000多家客戶,海量的實踐經驗是服務質量的有力保障。公司可提供可行性研究報告、融資計劃書、商業計劃書、市場調研報告、資金申請報告、投資價值分析報告、社會穩定風險評估報告、節能評報告等策撰服務。
詳詢:13911268021沈先生









